收藏
分享
首页
精英战绩
招考信息
热门课程
关于精英
考试公告
联系我们
联系我们
单位名称:
蚌埠市时代精英教育科技有限公司
负 责 人:
梅娜
手机号码:
18110228019
固 话:
0552-3182668
电子邮箱:
jyjy88888@163.com
Q Q 号:
502579941
微 信 号:
bbjyjy
地 址:
蚌埠市蚌山区万达写字楼B座3楼
邮 编:
233300
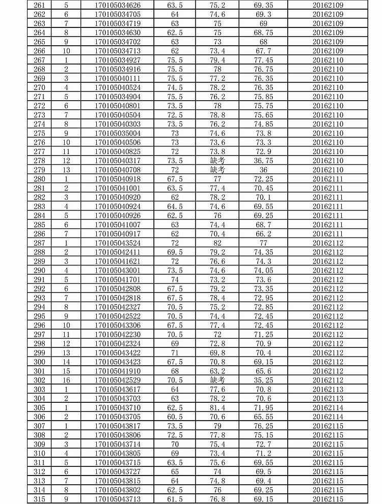
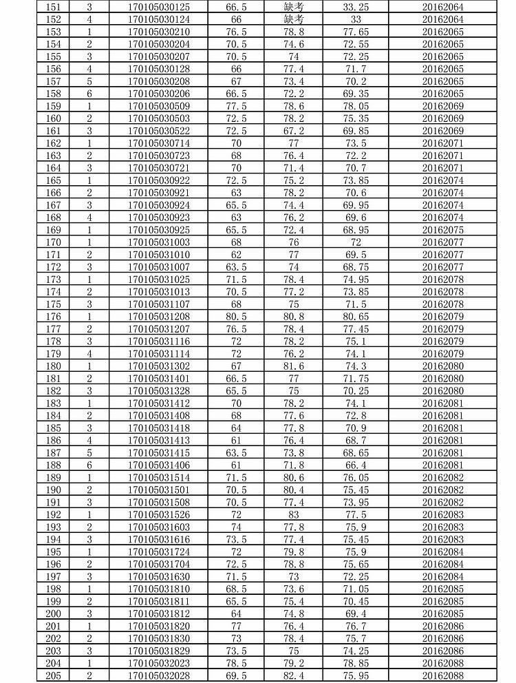
2016年下半年事业单位公开招聘工作人员全市统一组织面试岗位合成成绩
发布时间:2017-02-20
2016年下半年事业单位公开招聘工作人员全市统一组织面试岗位合成成绩
本文链接地址:
复制
蚌埠市时代精英教育科技有限公司 Copyright 2012-2019 ©www.jyjybb.com. 版权所有
免费咨询
梅老师:
李老师:
0552-3182668
0552-3081266
返回顶部
返回顶部