收藏
分享
首页
精英战绩
招考信息
热门课程
关于精英
考试公告
联系我们
联系我们
单位名称:
蚌埠市时代精英教育科技有限公司
负 责 人:
梅娜
手机号码:
18110228019
固 话:
0552-3182668
电子邮箱:
jyjy88888@163.com
Q Q 号:
502579941
微 信 号:
bbjyjy
地 址:
蚌埠市蚌山区万达写字楼B座3楼
邮 编:
233300
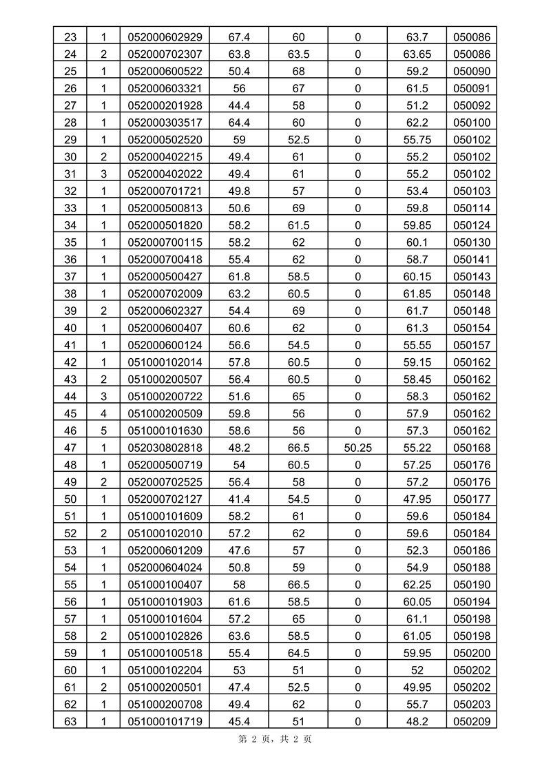
蚌埠市2017年考试录用公务员资格复审递补人员名单(四)
发布时间:2017-07-05
蚌埠市2017年考试录用公务员资格复审递补人员名单(四)
本文链接地址:
复制
蚌埠市时代精英教育科技有限公司 Copyright 2012-2019 ©www.jyjybb.com. 版权所有
免费咨询
梅老师:
李老师:
0552-3182668
0552-3081266
返回顶部
返回顶部